EE 341

Homework Assignment 6
Due Oct. 6, 2004

  1. Problem 3.26. Note: This problem is easy if you use the properties of convolution on Pages 124 and 125.
  2. Problem 3.30 (a) (b) (e). Here is the solution to Part (c)
    Note: The exact solutions to (a), (b), and (e) are:
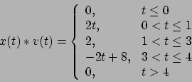
    (a)
    \begin{displaymath}x(t)*v(t) = \left\{ \begin{array}{ll} 0, & t
   \le 0 \\
   2t, & ...
   ...e 3 \\
   -2t+8, & 3 < t \le 4 \\
   0, & t >4
   \end{array} \right. \end{displaymath}

    (b)
    \begin{displaymath}x(t)*v(t) = \left\{ \begin{array}{ll} 0, & t
   \le 0 \\
   -t^2+4...
   ...\\
   t^2-8t+16, & 2 < t \le 4 \\
   0, & t >4
   \end{array} \right. \end{displaymath}

    (e)
    \begin{displaymath}x(t)*v(t) = \left\{ \begin{array}{ll} 0, & t
   \le 0 \\
   4 e^{-...
   ...t \le 4 \\
   4 e^{-2t} (e^6-e^{-2}), & t >4
   \end{array} \right. \end{displaymath}

  3. Problem 4.1. You may use a calculator or MATLAB for this problem.
  4. Problem 4.2. You may use a calculator or MATLAB for this problem.
  5. Problem 4.3.
  6. Problem 4.5. Note: For figure (ii), the amplitude should be 1, and the width should be a, so the pulse should go from -a/2 to a/2.


Bill Rison, <rison@nmt.edu >